MSDS Student Ambassador Shiraz Robinson’s Holiday Tradition
For University of Virginia School of Data Science M.S. in Data Science (MSDS) student ambassador Shiraz Robinson, the holiday season has long been about more than lights and traditions—it’s also a time for curiosity, creativity, and discovery through mathematics. What began as a surprising algebra puzzle in high school grew into an annual ritual, one that blends problem-solving with wonder and reveals how equations can tell stories of their own.
In this blog post, Robinson takes readers on a holiday journey through a series of “Merry Christmas” equations, tracing how each mathematical challenge marked a different stage of his academic path. From algebra to multivariate calculus and animated visualizations, he reflects on how math became both a personal tradition and a source of joy, highlighting how mathematics can be both technical and personally meaningful.
A Holiday Tradition
Each holiday season, the glow of Christmas lights is not the only thing that brightens my December. Solving equations has become my own festive tradition, weaving mathematics into the magic of the holidays. What began as a single puzzle years ago has grown into a yearly practice that challenges me to think more deeply about how I approach problem-solving.
The Algebraic Merry Christmas Equation
It began in December 2016, during my third year of high school, when I discovered the Algebraic Christmas Equation. This puzzle was as detailed as a snowflake and as fascinating. At first, it seemed like a normal equation with logarithms, fractions, and variables spread across the page. But as I solved it, something surprising happened. The variables shifted, one by one, until they formed a holiday greeting. I stared at my paper, almost sure that I had made a mistake. Math was not supposed to have punchlines.
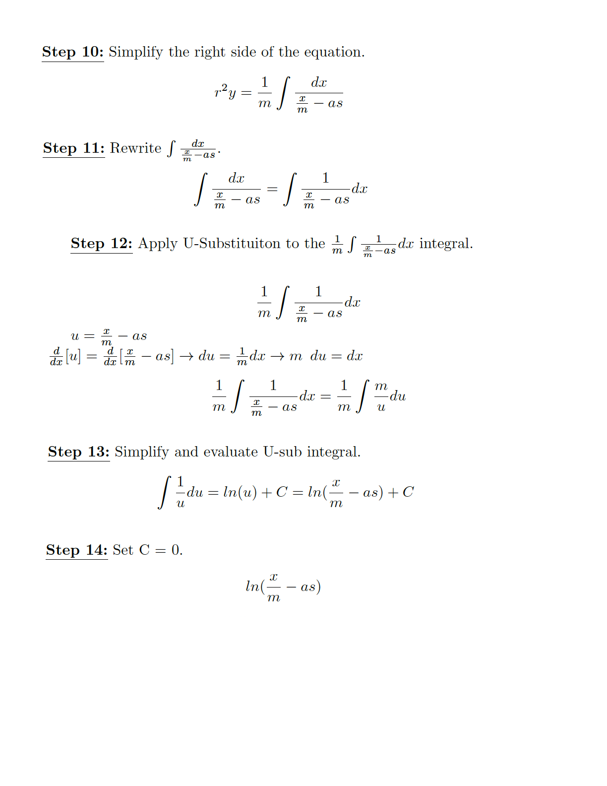
The Multivariate Calculus Merry Christmas Equation
Five years later, in December 2021, I found a new challenge: the Multivariate Calculus Christmas Equation. I came across it in an Instagram video by a CERN physicist, someone who searches for the secrets of the universe by day and shares math puzzles online by night. Watching him solve the problem was like seeing a performance, with integrals, partial derivatives, and constants all working together until the same festive message appeared. I knew I wanted to try it out myself.
After hours of hard work and several mistakes with the u-substitution, I finally found it. This time, solving the equation felt different. It was personal, linking my high school self to the person I was becoming — someone who found beauty in equations and meaning in working with symbols.
Animated Equations
In December 2023, I brought this tradition to a new level. I used Manim, the mathematical animation engine made by Grant Sanderson of 3Blue1Brown, to animate the Christmas equations and turn their complexity into something you could visualize. As the equations moved across the screen, with terms canceling out, expressions becoming simpler, and the final answer appearing in a satisfying way, I felt a joy much like a child seeing snow for the first time.
Watch the Algebraic Merry Christmas Equation video:
Watch the Multivariate Calculus Merry Christmas Equation video:
For me, these equations are not just math. They are a celebration, a story told through numbers and motion, and a reminder that even in the season of miracles, the magic of discovery can be made by hand.
Learn more about the full-time, in-person Residential MSDS at the University of Virginia. Request more information, connect with Admissions, or start your application today.






